Ma al Comune di Colleferro chi gestisce davvero i soldi pubblici, e soprattutto come?
COLLEFERRO (RM) – In tempi di “spending review”, di calo dei fondi indirizzati agli enti locali da parte dello Stato, di tempi biblici per il pagamento dei fornitori della Pubblica amministrazione, accadono fatti che, quanto meno, lasciano perplessi…
Prendiamo spunto da un’interrogazione presentata (•>), per la prima volta, sul finire dello scorso anno, dai consiglieri comunali di opposizione Sanna, Girolami e Stendardo.
L’argomento in questione è la convenzione per l’affidamento dei lavori di ampliamento e gestione della piscina comunale di Piazzale Europa.
Il 18 Aprile 2007 il Comune di Colleferro sottoscriveva la suddetta convenzione nella quale si prevedeva sostanzialmente che: la società alla quale veniva affidata la gestione della piscina comunale avrebbe dovuto effettuare, entro un determinato lasso di tempo, delle “opere obbligatorie” (seconda vasca nuoto, vasca tuffi, ristrutturazione degli spogliatoi esistenti e sistemazione esterna dei piazzali) e delle “opere integrative” (recinzioni e verde attrezzato).
La convenzione prevedeva anche che la società affidataria avrebbe dovuto corrispondere al Comune un “canone” di 20mila euro all’anno e, tra le altre cose, concedere ad associazioni dilettantistiche degli spazi in corsia.
Nell’interrogazione (la 28/2013 •>), alla quale ci si riferiva in apertura, si chiedeva sostanzialmente se fossero stati rispettati i dettami dell’accordo.
Nella risposta •>, consegnata in occasione del Consiglio comunale del 27 Febbraio scorso, si riferiva che – pur adducendo motivazioni non prive di fondamento – «Il cronoprogramma allegato alla convenzione in essere non è stato rispettato» e che «non risultano concessi spazi ad alcuna associazione dilettantistica». In termini pratici si certificava che solo alcune delle opere, sia “obbligatorie” che “integrative”, erano state eseguite, avendo nel frattempo deciso di annullare la realizzazione della vasca per i tuffi…
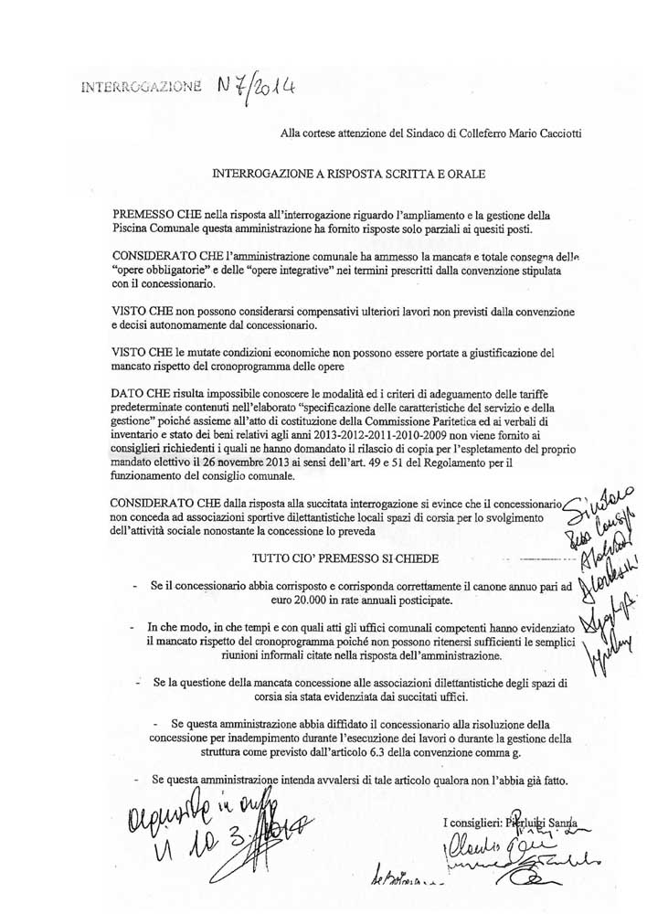
Avendo l’amministrazione comunale «fornito risposte solo parziali ai quesiti posti» i consiglieri di opposizione (Sanna, Gessi, Girolami, Del Brusco e Stendardo) hanno presentato una nuova interrogazione (la 7/2014 •>) nella quale venivano richieste spiegazioni specifiche soprattutto riguardo: alla corresponsione del “canone” annuo; all’avere o meno, l’Amministrazione fatto rilevare al concessionario il mancato rispetto del cronoprogramma della convenzione e della concessione alle associazioni dilettantistiche degli spazi in corsia; all’avere o meno, l’Amministrazione diffidato il concessionario alla risoluzione della convenzione per inadempimento.
Nella risposta •>, fornita in occasione della seduta del Consiglio comunale del 29 Aprile scorso, veniva affermato che a tale data «risultano essere state corrisposte n. 2 rate»… Dal 2007 a quella data, secondo gli accordi, avrebbero dovuto essere versati nelle casse del Comune almeno 120mila euro contro i 40mila effettivamente versati. In merito, nella risposta, si affermava che, con la determinazione dirigenziale n. 246/2014 (inspiegabilmente indisponibile sul sito internet istituzionale [*]), l’Amministrazione aveva deciso unilateralmente di far pagare al concessionario il doppio del canone (più gli interessi legali) per i prossimi 4 anni, recuperando così gli 80mila euro mancanti. Anche se non è stato possibile reperire il testo di quella determinazione dirigenziale, sembrerebbe che essa sia stata firmata nell’immediata prossimità del Consiglio del 29 Aprile (forse il giorno stesso) dal responsabile dell’Area funzionale 3 – Programmazione economica e personale, Antonio Gagliarducci.
Quanto alla mancata realizzazione (tra l’altro) della vasca per i tuffi, nella risposta all’interrogazione (•>) si sostiene che tale opera «attualmente non garantirebbe all’investitore un rientro degli investimenti all’interno del periodo previsto dalla convenzione…», e quindi è stata semplicemente “depennata”, avendo «l’Amministrazione comunale concordato sulla sua inopportunità ed antieconomicità.»
Si consideri anche che per seguire e “gestire” il rapporto in convenzione tra Comune e concessionario della piscina comunale – secondo quanto disposto dalla stessa convenzione (all’art. 3.7.1) – doveva essere costituita una Commissione paritetica, che non è mai stata costituita.

Aggiungiamo, a quanto finora riferito, che esistono rapporti di parentela tra il responsabile dell’Area funzionale 3 – Programmazione economica e personale del Comune di Colleferro, Antonio Gagliarducci •>, ed il rappresentante della società concessionaria della piscina comunale.
Non potendo, come giornale, presentare interrogazioni (prerogativa esclusiva dei consiglieri comunali) ci chiediamo se tutto quanto riferito possa rientrare in una oculata, corretta e trasparente gestione della finanza e della proprietà pubblica.
Volendo qui sottolineare la bontà del servizio offerto al pubblico dalla concessionaria della piscina comunale, ci preme soffermarci su alcune questioni.
In un normale contratto tra privati, un rapporto in convenzione così gestito, sarebbe stato risolto (=cessato) non oltre il terzo anno dal suo inizio… Qui, invece, ci si “accorge” del mancato pagamento del canone con almeno 4 anni di ritardo, ed il tutto si risolve in una “rivisitazione” della convenzione grazie ad un “accordo” tra… parenti.
È vero che il concessionario ha fatto investimenti ‘extra’ sulla struttura, ma purtroppo tali investimenti, non previsti in convenzione, non possono essere ascritti al suo soddisfacimento, ed in ogni caso, anche includendo quelle somme, mancherebbero all’appello, da oltre 3 anni, investimenti per 450mila euro.
Se – così come viene fatto nelle risposte alle interrogazioni – si vogliono prendere in considerazione la congiuntura economica ed il generalizzato periodo di crisi, riteniamo che i rapporti tra Amministrazione comunale e concessionario privato avrebbero dovuto essere gestiti in maniera diversa.

Magari da persone diverse (il Segretario generale dr. Antonio Rocca •>, ad esempio) per le quali non sarebbe stato possibile sollevare nemmeno il dubbio dell’interesse privato…
Sarebbe stato sufficiente, come prescritto, costituire la Commissione paritaria che avrebbe puntualmente seguito la questione eventualmente intervenendo con i necessari aggiustamenti a tempo debito.
Se non si vuol ritenere che il tutto sia stato condotto all’insegna dell’interesse privato, non vi è motivo di escludere che “leggerezze” simili abbiano animato anche altri rapporti tra Comune e privati.
Ma che ci sta a fare il Segretario generale che «così come previsto dall’art. 97 del D.Lgs. 267/2000, sovrintende allo svolgimento delle funzioni dei dirigenti e ne coordina l’attività, svolge compiti di collaborazione e funzioni di assistenza giuridico-amministrativa nei confronti degli organi dell’ente in ordine alla conformità dell’azione amministrativa alle leggi, allo statuto ed ai regolamenti. Con deliberazione G.C. n. 5 del 23.03.2013 è stato nominato Responsabile della Prevenzione della Corruzione e con deliberazione G.C. n. 202 del 19.09.2013 è stato nominato Responsabile del potere sostitutivo»?
Ci sono associazioni operanti sul territorio che hanno atteso per anni (ed alcune attendono ancora) contributi promessi, a fronte di reali spese sostenute, di poche centinaia di euro, e poi ci si “distrae” su incassi di questa entità?
Non abbiamo notizia dell’esistenza di altri eventuali concessionari in grado di gestire la piscina comunale e non ci interessa discutere troppo nel merito.
Ma se a quest’episodio aggiungiamo quello del quale abbiamo trattato qualche settimana fa, relativo al mancato pagamento del debito di 3 milioni di euro che entro gennaio doveva essere restituito alla Banca delle Marche, è legittimo chiedersi: quante altre questioni più o meno “ignote” (o ignorate?) ci sono?
Vogliamo approfondire com’è stato gestito nel tempo il rapporto di credito nei confronti del Consorzio Gaia, ben prima che andasse in liquidazione e quando, quindi, era ancora in grado di pagare?
Vogliamo andare a vedere a che punto è la questione relativa ai terreni Spl acquistati dal Comune per i pannelli fotovoltaici?
Oppure vogliamo dare un’occhiata allo svolgimento delle gare per la vendita della Farmacia comunale, inclusa l’ultima, in cui qualcuno ha avuto il coraggio di farsi sorgere il dubbio se prendere in considerazione, o meno, l’unica offerta presentata ampiamente in ritardo?
Ancora, vogliamo spulciare meglio la storia del Segretario comunale “part-time” con il Comune di Segni?
O, infine, verificare le “collaborazioni” politico-amministrative gestite in “remoto” da Colleferro a Segni?
Indipendentemente dai recenti indirizzi, per quanto concerne gli emolumenti concessi agli amministratori pubblici, siamo sempre stati dell’idea che essi non debbano avere un tetto massimo: il manager che vale e che funziona va pagato e tenuto.
È dunque legittimo chiedersi ancora: siamo sicuri che i quasi 250mila euro l’anno che costano al Comune di Colleferro il Segretario comunale ed il responsabile dell’area amministrativa, siano commisurati?
Ciascuno di loro costa al Comune di Colleferro più o meno quanto costa il Presidente del Consiglio Matteo Renzi allo Stato… E probabilmente, per le loro capacità… meritano molto di più, ma… quello sarebbe il momento in cui il Comune di Colleferro potrebbe non poterseli permettere più…
Giulio Iannone

[*] [Dopo la pubblicazione dell’articolo che state leggendo, un gentile lettore (che ringraziamo) ci ha inviato il file pdf della determinazione dirigenziale n. 246/2014 alla quale abbiamo fatto riferimento e che, continuiamo a sottolineare, non è visibile sul sito del Comune – Almeno non con i dati di ricerca evidenziati nell’immagine a lato!].
La determinazione dirigenziale è quindi disponibile qui •>
Evidenziamo in ogni caso:
• la conferma della data: la determinazione è stata firmata il giorno precedente (il 28 Aprile 2014) a quello della seduta del Consiglio Comunale, nel corso della quale sarebbe stata citata nella risposta all’interrogazione 7/2014…
• la falsa (!?) affermazione (a pag. 3 del documento) che il «presente atto è stato pubblicato sul sito internet del Comune di Colleferro…»













